| del mar |
|
|||||||||||||||||
|
Los rápidos submarinos
del Golfo de California
|
![]() |
|||||||||||||||||
|
Manuel López Mariscal
y Julio Candela Pérez
|
||||||||||||||||||
|
Mucha gente ha visto los rápidos en algún río o
arroyo, esas zonas en donde los ríos se hacen más someros, angostos y el agua fluye más rápido. Este aumento de la velocidad en los rápidos es una consecuencia de la conservación de masa, ya que si el río tiene un transporte o gasto (volumen por unidad de tiempo) constante, entonces el mismo volumen de agua tiene que pasar por una sección del río cuya área es más pequeña y eso hace que la velocidad aumente. La velocidad del río también puede aumentar por un incremento en la inclinación del fondo. Aunque en el Golfo de California o Mar de Cortés no hay rápidos, existen corrientes profundas pegadas al fondo que tienen un comportamiento similar al de los rápidos de un río, en donde la trayectoria de la corriente la lleva a lugares más angostos y menos profundos y, posteriormente, a fluir a lo largo de pendientes pronunciadas.
La línea de costa y la batimetría (topografía del fondo marino) de la parte norte del Golfo de California, son sumamente accidentadas y complejas (figura 1). Esta zona está poblada de islas, estrechos, canales y cuencas. Canal de Ballenas es sin duda la cuenca más impresionante de esta parte del golfo, y se extiende desde la isla San Lorenzo hasta la parte norte de la isla Ángel de la Guarda (aproximadamente 170 km) alcanzando profundidades de 1 600 metros. La batimetría de las cuencas de Canal de Ballenas y de Delfín hace que sus aguas profundas por abajo de 400 metros estén aisladas del resto del golfo norte.
La mayoría de las cuencas del golfo norte están conectadas entre sí mediante zonas poco profundas y estrechas denominadas umbrales. Los umbrales son puntos silla de caballo en donde la profundidad alcanza un valor mínimo en la trayectoria de una cuenca a otra, pero a la vez también es la profundidad máxima en la dirección aproximadamente perpendicular a esa trayectoria. Algo parecido a Cerro de la Silla cerca de Monterrey, pero formando parte del fondo marino. Toda el agua profunda que pasa de la cuenca San Pedro Mártir a Canal de Ballenas tiene que pasar por el umbral San Lorenzo. Lo mismo ocurre entre las cuencas Tiburón y Delfín en donde el intercambio profundo tiene que pasar por el umbral Delfín.
Corrientes profundas
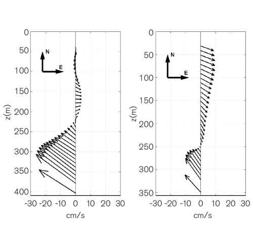
La renovación del agua profunda de Canal de Ballenas y de Cuenca Delfín se da mediante corrientes que pasan por los umbrales de San Lorenzo y Delfín, en donde la corriente promedio cerca del fondo siempre va en dirección a Canal de Ballenas y a Cuenca Delfín, es decir, hacia el noroeste. Los vectores de velocidad horizontal de la figura 2 se obtuvieron con mediciones de corrientes hechas por más de un año en ambos umbrales, utilizando instrumentos instalados muy cerca del fondo que son capaces de medir las corrientes en casi toda la columna de agua mediante ondas acústicas. Es importante mencionar que los vectores de la figura 2 representan las corrientes horizontales que son mucho mayores a las corrientes verticales en el océano. Por ello, una flecha apuntando hacia arriba en dicha figura representa la velocidad del agua hacia el norte y no la velocidad del agua hacia arriba, tal y como lo indican las flechas etiquetadas con los símbolos de norte (N) y este (E). En tales corrientes el agua en el umbral es más densa que la de la cuenca profunda y, por tanto, el agua fluye por diferencia de densidad desde el umbral hasta la parte más profunda de la cuenca a lo largo del fondo que tiene una pendiente relativamente pronunciada.
La figura 3 muestra una sección vertical de la densidad del agua de mar a lo largo del umbral de San Lorenzo desde Cuenca San Pedro Mártir hasta Canal de Ballenas. Estos datos se obtuvieron bajando un instrumento desde un barco en diferentes posiciones a lo largo del umbral de San Lorenzo. De hecho, las cruces en la parte superior de la figura muestran las posiciones donde se tomaron los datos. El instrumento baja desde la superficie del mar hasta el fondo y mide continuamente los parámetros necesarios para calcular la densidad del agua de mar. La densidad en el océano es ligeramente mayor a 1 000 kg/m3 y varía muy poco, generalmente menos de 1%, y a esto se debe la costumbre en oceanografía de restarle 1 000 a los valores de densidad dados en unidades de kg/m3. Por ello, las líneas de igual densidad en la figura 4 están etiquetadas entre valores que van de 22 a 27, es decir, una variación de 5 kg/m3.
En la figura 3 se muestra cómo la densidad justo en el fondo del umbral de San Lorenzo a 400 m de profundidad es ligeramente mayor que la densidad que se encuentra a 1 000 m de profundidad en el fondo de Canal de Ballenas. De hecho, el campo de densidad es marcadamente diferente en ambos lados del umbral. En la cuenca San Pedro Mártir la densidad tiende a incrementarse monotónicamente con la profundidad por debajo de 400 m, pero en Canal de Ballenas la densidad tiende a mantenerse constante a lo largo del fondo desde el umbral hasta unos 1 000 m de profundidad. Lo que evidencia una corriente densa que desciende hasta grandes profundidades en Canal de Ballenas.
Al fluir pendiente abajo, la corriente se mezcla de manera turbulenta con el agua más ligera que está por arriba de ella misma, provocando que su densidad disminuya. En el caso del umbral San Lorenzo, la inclinación del fondo es como de 5%, lo cual es un valor alto comparado con las pendientes típicas que se encuentran en el océano. Estas pendientes altas provocan que el agua de la corriente de fondo se mezcle rápidamente corriente abajo del umbral y por ello hay una disminución significativa de la estratificación (variación vertical de la densidad) justo pasando el umbral.
Es importante mencionar que en las figuras 3 y 4 las inclinaciones del fondo están muy exageradas debido a las diferentes unidades en el eje vertical (metros) y en el horizontal (kilómetros). Todas las figuras que representan una parte vertical y otra horizontal del océano muestran tal distorsión en las inclinaciones del fondo, lo cual necesariamente tiene que ser así, ya que la profundidad promedio de todos los océanos es de aproximadamente cuatro kilómetros y sus extensiones horizontales son de miles o decenas de miles de kilómetros. En otras palabras, los océanos, y la atmósfera también, son capas delgadas de agua y aire cuando tomamos en cuenta que su extensión vertical es muy pequeña comparada con su extensión horizontal que se prolonga sobre toda la superficie de nuestro planeta en el caso de la atmósfera, y de más de 70% de la superficie terrestre en el caso del océano. En la figura 3, la extensión horizontal es de unos 30 km, pero aun así sigue siendo bastante mayor que la máxima profundidad de un kilómetro.
Las velocidades promedio más intensas de estas corrientes están cerca del fondo y son de unos 33 y 17 cm/s para los umbrales de San Lorenzo y Delfín respectivamente. Dichas velocidades no son muy altas comparadas con las de los ríos, pero la cantidad de agua que transportan sí es considerable. Utilizando los perfiles de velocidad que aparecen en la figura 2 y las secciones transversales estimamos un transporte promedio de 80 000 y 90 000 m3/s para tales umbrales. Estos transportes juntos equivalen más o menos a la descarga del río Amazonas, el más caudaloso del mundo. Sin embargo, dichos valores son pequeños cuando los comparamos con los transportes de las grandes corrientes, oceánicas como la corriente de Yucatán que fluye hacia el Golfo de México entre la península de Yucatán y Cuba y que transporta, en promedio, casi 24 millones de metros cúbicos por segundo.
El efecto fertilizador
El transporte de agua profunda hacia las cuencas del golfo norte tiene consecuencias importantes para la renovación de las aguas de esa zona del Golfo de California y para su gran productividad biológica. Utilizando el volumen de agua de las cuencas de Canal de Ballenas y de Cuenca Delfín, así como los transportes mencionados anteriormente, estimamos que el agua de ambas cuencas se renueva en un periodo aproximado de 150 días. Utilizando el área que éstas ocupan, también se puede estimar una velocidad vertical promedio de cinco metros por día. Aunque esta velocidad puede parecer muy baja, en realidad es una velocidad muy alta comparada con las velocidades verticales observadas en otras partes del océano. Por ejemplo, las aguas profundas de todos los océanos se renuevan por hundimiento de agua cerca de las regiones polares que posteriormente asciende en las regiones tropicales y templadas de los océanos con una velocidad vertical inferida de sólo un centímetro por día (la circulación y ascenso de las aguas profundas en las cuencas del golfo norte se muestran esquemáticamente en la figura 4).
Esta renovación rápida de las aguas en las cuencas del golfo norte tiene consecuencias biológicas muy importantes. El fitoplancton (algas microscópicas en suspensión que son la base de la cadena trófica o alimentaria en el mar) florece únicamente en la zona donde penetra la luz, que generalmente comprende unas cuantas decenas de metros cerca de la superficie. Sin embargo, los nutrimentos (fertilizantes naturales) que requiere el fitoplancton para crecer y reproducirse se encuentran en las aguas profundas a donde llega toda la materia orgánica que se descompone transformándose en nutrimentos. Por ello, en lugares de aguas profundas ricas en nutrimentos, cuando éstos llegan a la zona donde penetra la luz, florece el fitoplancton, que a su vez da origen a comunidades abundantes de organismos que ocupan lugares superiores en la cadena trófica. Esta situación es precisamente la que se da en la parte norte del Golfo de California, en donde la renovación rápida de las aguas en sus cuencas más profundas da origen al constante surgimiento de aguas ricas en nutrimentos que crean en la superficie una zona exuberante de vida marina, incluyendo una enorme variedad de comunidades abundantes de peces, aves y mamíferos marinos. Es entonces la constante renovación y ascenso de sus aguas lo que hace de la parte norte del golfo una de las zonas oceánicas más productivas del planeta.
|
|
|
|
|||||||||||||||
|
Referencias bibliográficas
López, Manuel y Joaquín García. 2003. “Moored observations in the northern Gulf of California: A strong bottom current”, en Journal of Geophysical Research, vol. 108, pp. 30.1-30.18.
López, Manuel, Julio Candela y María L. Argote. 2006. “Why does the Ballenas Channel have the coldest sst in the Gulf of California?”, en Geophysical Research Letters, vol. 33. López, Manuel, Julio Candela y Joaquín García. 2008. “Two overflows in the Northern Gulf of California”, en Journal of Geophysical Research, vol. 113. Sheinbaum, Julio, Julio Candela, Antoine Badan y José Ochoa. 2002. “Flow structure and transport in the Yucatan Channel”, en Geophysical Research Letters, vol. 29, núm. 3, pp. 10.1-10.4. Talley, Lynne D., George L. Pickard, William J. Emery y James H. Swift. 2011. Descriptive Physical Oceanography: An Introduction. Elsevier, Burlington. |
||||||||||||||||||
| _______________________________________________ | ||||||||||||||||||
|
Manuel López Mariscal y Julio Candela Pérez
Centro de Investigación Científica y de Educación
Superior de Ensenada.
|
||||||||||||||||||
| _________________________________________________ | ||||||||||||||||||
|
cómo citar este artículo →
López Mariscal, Manuel y Candela Pérez, Julio. 2015. Los rápidos submarinos del Golfo de California. Ciencias, núm. 117, julio-octubre, pp. 48-51. [En línea].
|
||||||||||||||||||




